
发布时间:2025-02-05来源:徐耀阳研究组
多环芳烃(Polycyclic Aromatic Hydrocarbons, PAHs)广泛存在于河流、湿地、湖泊、水库、地下水、河口和海湾等各类水体环境中,其来源既包括化石和木材燃烧等人为源,也包括生物代谢、火山喷发等自然源。海湾是一类在区域尺度上受沿海城市化过程影响最为敏感的环境指示器,其PAHs的浓度、种类组成等污染特征存在时空差异,能在很大程度上反映区域化石燃料利用特征与变化趋势。对污染特征的定量解析,不仅能在科学层面上深入揭示海湾PAHs污染来源与形成机制,还能在管理层面上有力支撑海湾PAHs污染防治“一湾一策”的制定。
为了定量解析海湾PAHs污染的异质性,中国科学院城市环境研究所联合宁波市生态环境科学研究院、华南农业大学等单位研究人员构建了海湾PAHs数据整合路径。该研究耦合了团队近年发表的海湾微塑料和抗生素数据挖掘及地下水降尺度分析方法,更新形成了由数据获取、数据校验和降尺度分析三个层层递进的流程组成的新路径(图1)。其中,数据获取流程是从已发表文献中提取16种优先控制PAHs浓度、采样深度等的信息,汇编成1369条数据记录。数据校验流程是通过判定研究种类和浓度单位的可比性,筛选出1310条可用数据记录。降尺度分析是以可用数据为基础,从全局、海湾和点位尺度解析PAHs污染特征,由此识别出3种污染类型和3种动态模式。该路径及海湾PAHs污染特征的研究结果以Data-driven insights into the contamination of polycyclic aromatic hydrocarbons in marine bays为题发表在Environmental Science & Technology。
全局尺度对比分析发现,亚洲海湾是全球PAHs浓度高值区域,亚-非洲海湾煤炭燃烧指示种类的占比高于南美-欧洲海湾(图2)。这表明亚洲能源消费量大,其中亚-非洲和南美-欧洲能源消费结构分别以煤炭、石油为主。海湾尺度对比分析发现,PAHs分布特征受污染来源和环境过程等多重因素的影响,其污染模式分为2-3环、3-5环和4-5环主导型(图3)。其中,水体和沉积物分别以2-3环和4-5环主导型为主,这是由于低环和高环PAHs在两种介质中分别具有较强的水溶性和吸附性所导致。
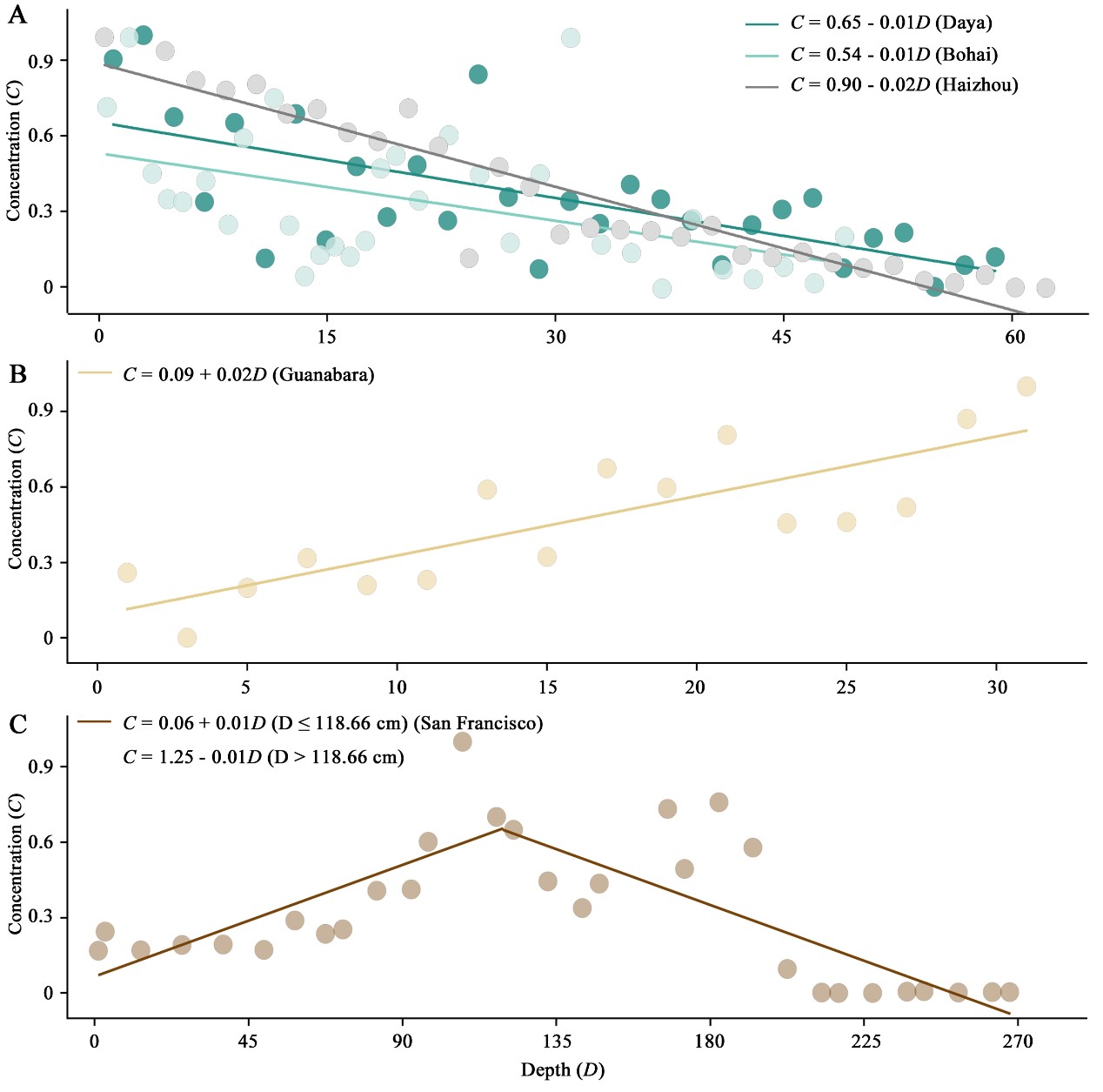
点位尺度对比分析发现,PAHs浓度动态模式分为上升型、下降型和倒V型,分别在中国、巴西和美国海湾出现(图4)。PAHs动态模式与各国能源政策有关。其中,中国经济发展依赖煤炭致PAHs浓度上升;巴西侧重开发水能和生物能源等可再生资源致PAHs排放下降;美国早期以石油为主,后加大清洁能源开发利用,对煤炭和石油依赖降低,能源政策调整使PAHs浓度呈现先升后降趋势。从长期来看,PAHs浓度动态模式总体会趋于倒V型,反映全球能源政策从传统能源向清洁能源转变的趋势。
数据驱动下的降尺度视角深化了对海湾PAHs污染时空异质性的理解。从生物地球化学过程来看,海湾PAHs的分布不仅受到能源利用方式和能源政策等人为因素的影响,也会受到海洋环流和大气传输等自然因素的干扰。目前,在研究海湾PAHs时空异质性形成机制时,因社会经济和环境数据存在缺失,给从全面量化形成机制带来了一定挑战。对此,未来应建立全数据(One Data)指标体系,即将能源消耗、沉降、水体交换特征等关联因素纳入现有研究指标体系,并以此建立数据驱动下的因果关系定量模型,以更好地解析海湾PAHs污染形成机制和更科学地制定针对性的污染防控对策。

图1海湾PAHs数据整合路径

图2 全局尺度海湾PAHs时空分布特征

图3 海湾尺度PAHs种类组成模式

图4 点位尺度PAHs浓度时间动态模式
相关资料:
1. Liu, D.; Luo, Y.; Bao, W.H.; Junaid, M.; Guo, Z.F.; Xu, Y.Y. Data-driven insights into the contamination of polycyclic aromatic hydrocarbons in marine bays. Environ. Sci. Technol. 2024, 58, 15202-15213.
2. He, Y.Q.; McDonough, L.K.; Zainab, S.M.; Guo, Z.F.; Chen, C.; Xu, Y.Y. Microplastic accumulation in groundwater: Data-scaled insights and future research. Water Res. 2024, 258, 121808.
3. Liu, D.; Guo, Z.F.; Xu, Y.Y.; Chan, F.K.S.; Xu, Y.Y.; Johnson, M.; Zhu, Y.G. Widespread occurrence of microplastics in marine bays with diverse drivers and environmental risk. Environ. Int. 2022, 168, 107483.
4. Liu, D.; Xu, Y.Y.; Junaid, M.; Zhu, Y.G.; Wang, J. Distribution, transfer, ecological and human health risks of antibiotics in bay ecosystems. Environ. Int. 2022, 158, 106949.
5. González-Gaya, B.; Fernández-Pinos, M.-C.; Morales, L.; Méjanelle, L.; Abad, E.; Piña, B.; Duarte, C.M.; Jiménez, B.; Dachs, J. High atmosphere–ocean exchange of semivolatile aromatic hydrocarbons. Nat. Geosci. 2021, 9, 438-442.
6. Lv, M.; Luan, X.L.; Liao, C.Y.; Wang, D.Q.; Liu, D.Y.; Zhang, G.; Jiang, G.B.; Chen, L.X. Human impacts on polycyclic aromatic hydrocarbon distribution in Chinese intertidal zones. Nat. Sustain. 2020, 3, 878-884.
7. González-Gaya, B.; Martínez-Varela, A.; Vila-Costa, M.; Casal, P.; Cerro-Gálvez, E.; Berrojalbiz, N.; Lundin, D.; Vidal, M.; Mompeán, C.; Bode, A.; Jiménez, B.; Dachs, J. Biodegradation as an important sink of aromatic hydrocarbons in the oceans. Nat. Geosci. 2019, 12, 119-125.
8. LaBaer, J. Mining the literature and large datasets. Nat. Biotechnol. 2003, 21, 976-977.
9. Wagenmakers, E.J.; Sarafoglou, A.; Aarts, S., Albers, C.; Algermissen, J.; Bahnik, S.; van Dongen, N.; Hoekstra, R.; Moreau, D.; van Ravenzwaaij, D.; Sluga, A.; Stanke, F.; Tendeiro, J.; Aczel, B. Seven steps toward more transparency in statistical practice. Nat. Hum. Behav. 2021, 5, 1473-1480.
10. Todman, L.C.; Bush, A.; Hood, A.S.C. ‘Small Data’ for big insights in ecology. Trends Ecol. Evol. 2023, 38, 615-622.
11. Bourne, P.E.; Bonazzi, V.; Brand, A.; Carroll, B.; Foster, I.; Guha, R.V.; Hanisch, R.; Keller S.A.; Kennedy, M.L.; Kirkpatrick, C.; Mons, B.; Nusser, S.M.; Stebbins, M.; Strawn, G.; Szalay, A. Playing catch-up in building an open research commons. Science. 2022, 377, 256-258.
12. Fiil-Flynn, S.M.; Butler, B.; Carroll, M.; Cohen-Sasson, O.; Craig, C.; Guibault, L.; Jaszi, P.; Jütte, B.J.; Katz, A.; Quintais, J.P.; de Souza, A.R.; Sag, M.; Samberg, R.; Schirru, L.; Senftleben, M.; Tur-Sinai, O.; Contreras, J.L. Legal reform to enhance global text and data mining research. Science. 2022, 378, 951-953.
13. Li, R. F.; Hua, P.; Krebs, P. Global trends and drivers in consumption- and income-based emissions of polycyclic aromatic hydrocarbons. Environ. Sci. Technol. 2022, 56, 131-144.
14. Oberschelp, C.; Pfister, S.; Raptis, C. E.; Hellweg, S. Global emission hotspots of coal power generation. Nat. Sustain. 2019, 2, 113-121.
15. Guo, F.; Gao, M. S.; Dong, J. F.; Sun, J.; Hou, G. H.; Liu, S.; Du, X. J.; Yang, S.; Liu, J. H.; Huang, Y. S. The first high resolution PAH record of industrialization over the past 200 years in Liaodong Bay, northeastern China. Water Res. 2022, 224, 119103.
附件下载: